螺纹标准螺距表

相关图片

梯形螺纹基本尺寸表螺距6-10

梯形螺纹基本尺寸

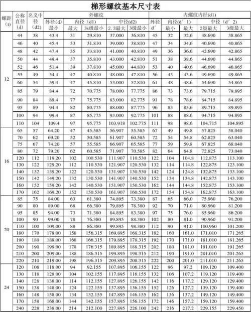
梯形螺纹基本尺寸表12-24

tr40*7梯形螺纹牙顶多宽

常用标准螺纹螺距对照表

随机推荐

10级小号和31级小号1200钻全是死神

邓伦#

悲伤的夫妇拥抱的合成图像

妲己的身材让峡谷的男生都很喜欢,连蔡文姬都羡慕妲己,结果

此前报道:19岁乡下男孩成四维控股神秘股东11月20日上午9点,北京的

好大的官威:村民撞到村长家的狗,被村长和村治安队追到家里殴打

微信签名59句,简短干净高级感文案,高雅有内涵,格局大气场强(感悟人生

冉冉出海的红太阳 ,大美日照!