等你下课 提示:按f11切换浏览器全屏模式.

相关图片

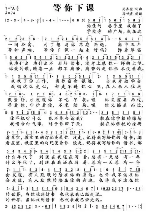
等你下课智能简谱周杰伦杨瑞代演唱

等你下课简谱周杰伦演唱歌曲

等你下课 周杰伦 钢琴谱 双手 数字 简谱 高清大图

等你下课智能简谱周杰伦杨瑞代演唱

周杰伦等你下课新手简单版吉他谱

随机推荐

王俊凯 #tfboys暂不接受投稿注:等之前的弄完了再投稿

下班3分钟就能搞定的清汤面

葛陶中紫砂壶

唯美意境 #一起享受大自然的美 #感恩所有的相遇

王俊凯王源工作室logo相似

如#五一上海飞济州岛仅12元#,青岛飞首尔仅35

塞下曲——卢纶

西方人,一个人,坐,竖图,室外,白天,仰视,旅游,度假,石头,美景,山,山脉