赞美诗丨永远的依靠

相关图片

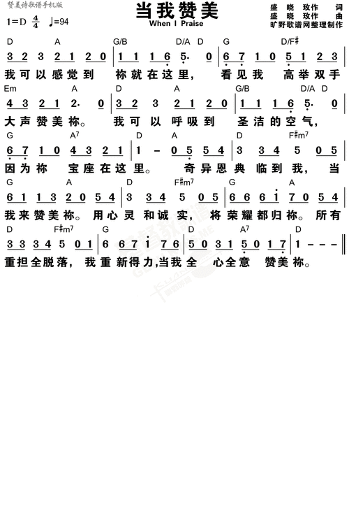
当我赞美简谱歌词 - 苹果dj站曲谱-pc.pingguodj.com

当的歌谱(当的歌词完整版唱)

当我唱起赞美的诗歌) / 南窗听雨编辑相关歌谱:[简谱]第2011首

[每日赞美诗]20191017 每一次我赞美主

歌谱 恩泉佳音续集 三 赞美诗网愿你崇高 歌谱 雅歌 赞美诗网忘记你太

随机推荐

微博之夜#全世界的光都融化在你眼里78@李现ing禁二改去水印|壁纸

韩式二八分侧背头男生发型

十二星座情侣配对

"顾飞,跟着光"_撒野顾飞蒋丞见字如晤手写绘画作品

老传统花腿

越有本事的人脾气越小,越没本事的人脾气越暴躁

汪苏泷时尚大片37

貔貅,又名天禄,壁纸送给你!#壁纸 #手机壁纸 - 抖音