最美的歌儿唱给妈妈(独唱歌曲)

相关图片

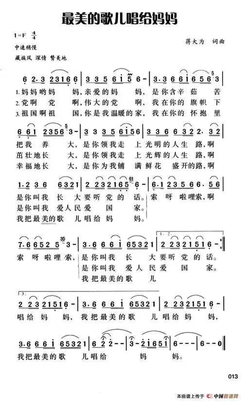
最美的歌儿唱给妈妈简谱(歌词)-蒋大为演唱-z.e.z曲谱1

最美的歌儿唱给妈妈 简谱

最美的歌儿唱给妈妈

最美的歌儿唱给妈妈映山红之歌

最美的歌儿唱给妈妈简谱(歌词)_王wzh制谱

随机推荐

精品时尚假发#男士假发发型-中长碎发自然吹干,无需打理

金超威,金品质,力大跑的远,金超威电池是首选!

创意海报,用ps制作抽象却简单的海报

暖男阳光帅气的男头 高端有气质耐看的优质男头合集_男生头像_美头网

2020秋冬流行全头烫发型20款,蓬松保暖又洋气,你烫

偏偏,今年在《歌手》担当"音乐合伙人"的湖南台新晋主持花旦靳梦佳,就

减龄小短发超短刘海

杨爱瑾恋爱8年终嫁二婚富商