等你下课

相关图片

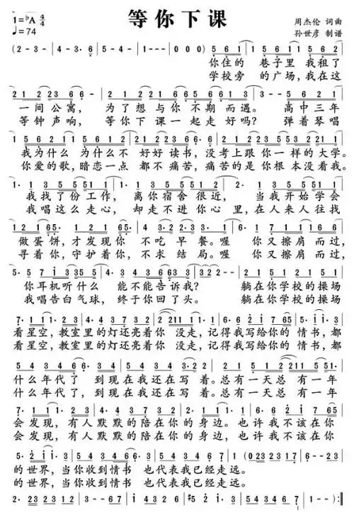
《等你下课》简谱(周杰伦演唱歌曲)

等你下课周杰伦简谱己上线500800010226

等你下课智能简谱周杰伦杨瑞代演唱

周杰伦等你下课简谱在哪看周杰伦等你下课钢琴曲谱

等你下课-周杰伦双手简谱预览

随机推荐

蓝洁瑛年轻时有多美?和女星同框照对比明显,周慧敏堪堪与之媲美_吴君

古风头像,中国风小女孩.#动漫女头 #优质头像 #古风头像 - 抖音

【素描教程】如何绘制动漫男孩

从小服务员做到港圈"大姐大",伍咏薇这样的快乐富婆人生太精彩_香港

马保国表情包:年轻人你不讲武德,耗子尾汁

屏障图标

女孩名字叠字_三叠字女孩名字_女孩名字大全叠字

总会觉得装修好之后,会影响消费者进店,可能小餐馆在装修时忽视了这