有没有那种禁欲系的污污的壁纸呀

相关图片

有哪些污而唯美的壁纸

污到你湿的漫画少女图片,高清壁纸图片,动漫人物-回车桌面

男生最污手机壁纸在百度图片中上传搜索会出来

有哪些污而唯美的壁纸

的粉色粉色的夜尺度之大 让人脸红这个插画竟然如此的污了不得alicia

随机推荐

范冰冰:还是老了,脖子是看一个人年纪的最好方式,脖纹十分严重_外貌

风景 二次元 壁纸 分享到: 投诉或建议

邓伦近况曝光和美女亲密合影疑有新恋情频繁露面想复出

理发

己亥,丙子,丁丑,戊寅休门东北,生门东,伤门东南,杜门南,景门西南,死门

李小璐高清写真图集,皮肤白皙,美丽动人

让心归零

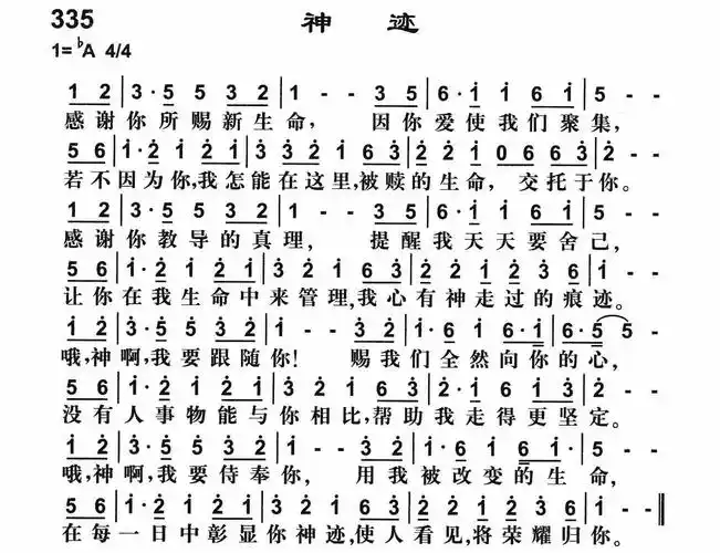
第335首神迹