《挥着翅膀的女孩》简谱 c大调适合初学者小汤3难度

相关图片

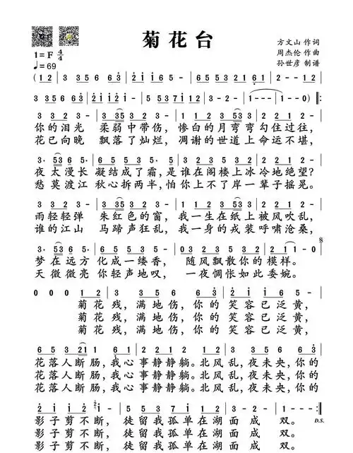
流行歌曲简谱双手c调

突然好想你 c调 初学者简易版 钢五双手简谱 钢琴谱

歌声与微笑 c大调 初学简易版 钢琴双手简谱 钢琴谱

丁香花c调简谱图片,同桌的你口琴c调简谱-图片大观-奇异网

小城故事 c大调 初学者 简易好听版 钢琴双手简谱 钢琴谱 钢琴简谱

随机推荐

像素头像 #像素 #鬼灭之刃 #栗花落香奈乎 #我妻善逸 - 抖音

杨洋卷毛发型梦回茅十八##杨洋小卷毛

《锦心似玉》开播啦,谭松韵扮演的罗十一娘戏里戏外都超甜!__财经头条

有手就会的折纸风海报教程来啦!

北京大兴国际机场航站楼一瞥

有一种话题叫打脸道歉赵又廷

有什么抵得过心甘情愿,又有什么蠢得过自欺欺人,心灰意冷的那一 - 抖

an 味 em>active /em> em>natural /em> lifestyle