宵夜必备葱油拌面60做法简单好吃到停不下来

相关图片

葱油拌面.做法:16615先将面条煮熟,不用过熟了,捞出过冷水 - 抖音

这么做的葱油拌面整个小区都闻到香味啦

再发一次超好吃的葱油拌面做法60

【9款清爽的拌面做法】没有拌面的夏天不是完整的夏天!

上海葱油拌面的做法,上海葱油拌面怎么做好吃,上海葱油拌面的家常做法

随机推荐

佟丽娅是越来越有女人味了,一袭白色抹胸长裙,纯洁高雅,秀丽端庄,温柔

10位高人气流量女明星,个个都有很多粉丝,杨幂赵丽颖白鹿上榜

肖战最新自拍的q版!可爱到爆炸! 饭随偶像,太有才了.

手控 美手 戒指 唯美 头像图片来自兴趣部落 慕予 已授权 by放牛翠花

发型|刘海|短发|发量|发际线_网易订阅

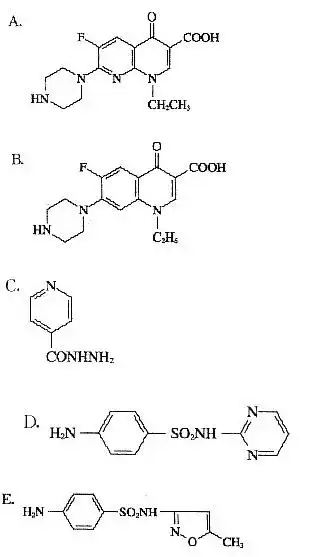
下面化学结构中哪个是诺氟沙星

无限滑板

手工剪纸技巧漂亮的三角花形窗花纸