锂的焰色反应-noob生活网

相关图片

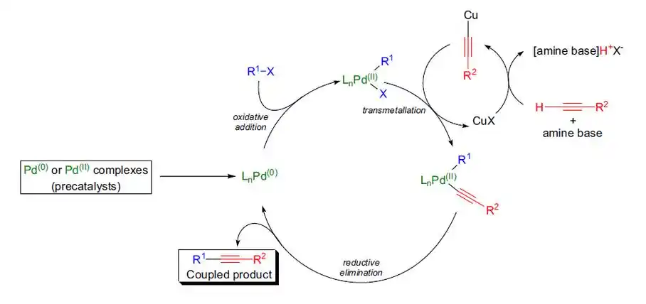
sonogashira反应_催化_进行_化合物

sonogashira反应_催化_进行_化合物

sonogashira反应_催化_进行_化合物

【缩合反应】darzen(达参)反应

高一化学必修二化学反应与热能知识点总结

随机推荐

宝贝的这个笑容真的太迷人了,期待成片啦#刘耀文全员加速中饭拍路透

求简单有趣的单色手绘图案

杨洋于和伟领衔援军明日到达引票房大猜想

【ai帝宝】邓丽欣《电灯胆》

王凯巴黎街头轻熟男写真桌面壁纸

2018动漫情侣头像一男一女两张帅气冷酷情侣动漫头像

印度教符号om标志图标设置白色平

一年四季都爱穿靴子的小伙伴举手!