【自营配送】天涯客小说未删减山河令上下册全套2本 天涯客试读几页

相关图片

十大原耽历史架空文,《将进酒》《杀破狼》《天涯客》天花板仙品

十大原耽历史架空文,《将进酒》《杀破狼》《天涯客》天花板仙品_温客

红了但踩雷风险也不小

第一次分手,是因为黎朔知道了赵锦辛和邵群的关系,知道了他不过是邵群

而刚好周也前段时间也有参演古装剧《天涯客》,她在剧中扮演女主"顾湘

随机推荐

杨紫李现合拍杂志,黑白情侣装经典不过时_白色_佟年_韩商言

贴纸肖战车贴战字油箱个性文字汽车工作室logo汽车装饰贴

有手就会的做法.食材:明虾77蒜蓉77小米 - 抖音

关我屁事(沙雕羊驼 gif 动图表情包)

巩俐多年前青涩泳装旧照曝光 清纯甜美眼神清澈

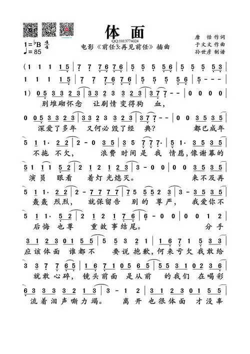
体面(电影《前任3:再见前任》插曲)简谱 - 曲谱歌词网

游客带着背包在秋天的森林里散步. 中年妇女独自旅行. 积极的生活方式

银河系的星球图片