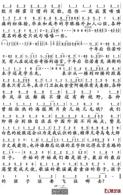
【简谱】北京东路的日子简谱

相关图片

《北京东路的日子》吉他谱分享#毕业季 #吉他谱分享 #抖音图 - 抖音

简谱北京东路的日子简谱

北京东路的日子 简谱 歌谱—南京外国语学校2010高三(6)班歌

《北京东路的日子》完美演奏版钢琴简谱-数字双手-汪源6

北京东路的日子钢琴简谱-数字双手-汪源1

随机推荐

穿着橙色应援色的衣服大喊兄弟们的名字,最后喊了他们组合的名字,很多

图文少林寺传奇见面会林志颖侧目聆听

告别大妈感,45岁女性必备的10款"锁骨卷"发型:既时髦又气质

范丞丞壁纸.范丞丞壁纸#范丞丞 #手机锁屏 #范丞丞要久久 - 抖音

女生头像超可爱二次元动漫图片

启明星艺校美术高级班6月9日卡通素描《小黄人》教学记

红色高跟鞋 d调完整版吉他谱d调六线吉他谱-虫虫吉他谱免费下载

【英雄联盟/大眼/全语音】维克兹