王一博时尚芭莎开年封面##王一博素颜大片##时尚芭莎 王一博

相关图片

王一博时尚芭莎开年封面##王一博素颜大片##时尚芭莎 王一博

王一博时尚芭莎2024开年刊封面##王一博素颜大片

王一博时尚芭莎开年封面##王一博素颜大片

王一博时尚芭莎开年封面##王一博素颜大片##时尚芭莎 王一博

时尚芭莎 王一博##王一博素颜大片##封面大赏##王一博卷毛吐舌

随机推荐

王俊凯妈妈照片

赵丽颖提前庆生,晒和关智斌丁子峻合照,噘嘴卖萌气质温婉少女_冯绍峰

三岁小女孩头发怎么扎好看图片(最新款小女孩好看的辫子编发发型

情侣头像可爱卡哇伊卡通高清图片

八卦图2(两仪四象八卦)

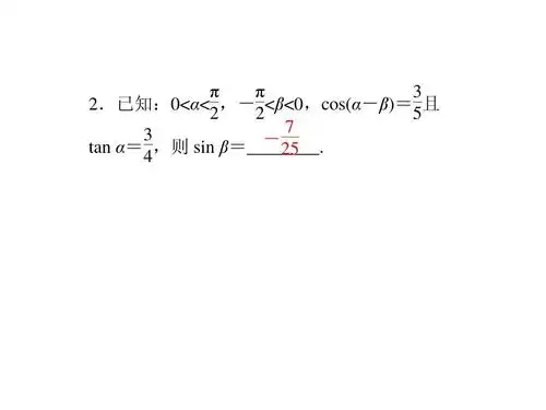
已知:0 α 2,-2 β 0,cos(α-β)=5且 tan α=4,则 sin β=

关于烁千的感情线【高燃卡点】【赵露思/丁禹兮】【传闻中的陈芊芊】

盛大开业宣传海报