有胡子的男生头像,成熟男人的魅力90 男生留胡子真的很有味道诶,一

相关图片

有胡子的成熟男人头像大胡子男人图片头像

时间会验证我有多爱你 #ai创作 #恋爱脑 #男生头像 #大叔头像 #小胡子

大胡子头像来啦0669♂15 是谁还没用过这么酷的大胡子头像?

98 霸气胡子男头像精选 胡须是男人的魅力标志之一,它代表着力量与

98 霸气胡子男头像精选 胡须是男人的魅力标志之一,它代表着力量与

随机推荐

07.18 硬核画圈:探索冠山林道

精美女生背影头像

200斤女胖子容貌惊艳喜感全露 盘点人越胖越出名的女星(组图)(4)

一个打赏的人吧打赏点赞是美德,打赏是鼓励摄于巴厘岛库塔海滩日落时

lisa出席威尼斯活动,一袭黑色长裙,优雅大方

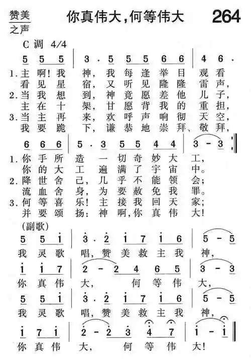
你真伟大,何等伟大) / 南窗听雨编辑相关歌谱:[简谱]第2011首 -主

夏天甜点,草莓冰淇淋 iphone 壁纸