少年派2今晚开播哦

相关图片

《少年派》处女座引起误会是第几集?这部电视剧主要讲述了什么?

少年派张嘉译闫妮花车求子是哪集(张嘉译闫妮追生二胎为养老)(13)

少年派:钱三一帮妙妙背锅,却被误会喜欢校花,郭俊辰:你真会猜_哔哩

原创戳心写实少年派4个家庭4种爱唯有他懂青春的阵痛和无奈

少年派:妙妙和小琪在宿舍偷玩手机,被老师误会理解,笑死了!

随机推荐

夜晚,天空,星星,湖,桥,风景壁纸

卑鄙的我小黄人卡通1920*1200高清壁纸

不老女神朱茵,高清图片,壁纸-桌面城市

1 学生 班主任数次动手打人6月28日,是北海民附学校今年春季学期期末

贾玲春晚小品新形象三碗米饭四个馒头七分饱挺好谐音梗爆笑

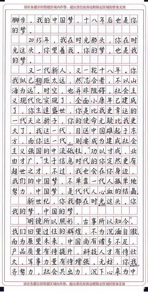
衡水一中学满分作文曝光,阅卷老师:单看字迹,满分就有了,佩服

晚安正能量励志哲理人生感悟最美的晚上好问候唯美图片

有种美叫"蓝盈莹的腿", 穿上镂空服那一刻惊艳到了!