无需打理的中长发慵懒卷发适合圆脸长脸

相关图片

法式蓬松慵懒甜美蛋卷头不挑脸型的卷发

不用打理烫发法式烫蛋蛋卷

不用打理的卷发法式卷

气质卷发"免打理齐肩短发烫发"91适合方圆脸

不用打理的卷发今年最流行

随机推荐

搞笑gif-影帝:黄渤不愧是影帝,演什么像什么

exo可爱的鹿晗,日韩明星-回车桌面

男生两边铲发型有多帅气试试这3款潮流又显高

王一博学长的专属电脑壁纸.#王一博#酷盖 #这谁顶得住啊 - 抖音

王鸥卸妆后,陈妍希卸妆后,杨幂卸妆后,都比不上她卸妆后!

韩剧顶楼第二季吴允熙想要把千瑞珍抢走的一切全部拿回来

赵今麦晒原相机素颜照怼脸自拍眼神灵动18岁状态超能打

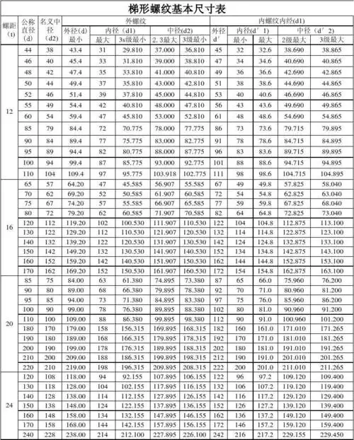
梯形螺纹基本尺寸表12-24