2006年1月8日前门扫胡同之花絮篇

相关图片

本田 雅阁 2006款 2.4l 豪华版图片

近日,看到一组大s的青涩旧照曝光.照片是2006年戛纳电影节时拍摄的.

2006年的15张北京老照片,只有1%北京人能全认对!

2006年12月28日汉八五部分同学在京聚会

06年年历

随机推荐

王力宏李靓蕾首次出庭对决,男方皱眉头沧桑大变样,交锋原因曝光_腾讯

张歆艺穿丝绒礼服裙秀好身材 温柔优雅端庄尽显成熟魅力

p图前后 #收稿 #甜包不闲饭圈club #刘浩存 #刘耀文

十大豪车车标识别教你怎么认各种车车牌带图片

还记得《家有儿女》中杨紫的闺蜜戴明明吗?这变化真的太大了!

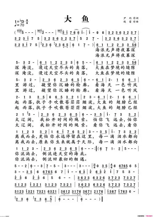
大鱼简谱-周深演唱1

杭州丰收湖公园以微湖水景为主题,经过精心布局,雕凿,在开园一年后

医学生专用表情包了解一下