闪耀暖暖衣服重构展示

相关图片

游戏闪耀暖暖中有哪些限时服装你觉得很好看

【闪耀暖暖】分享一下我搭配的女儿

有人跟我一样闪耀暖暖里就喜欢把暖暖往性感了打扮吗?

闪耀暖暖2周年庆暖暖亲自设计的花漾心蔷衣服美到爆

闪耀暖暖:单品上衣「猫咪甜点」搭配,可可爱爱

随机推荐

真香意大利名流张康阳最先预见疫情严重性他说的完全正确

1991年9月9日出生于上海市,籍贯安徽省合肥市,中国内地影视男演员

3月男发这样剪,颜值翻倍真帅气,喜欢吗|烫发|刘海|短发|造型感|男士

宝子们我获得了鞠婧祎的签名

四菜一汤

范丞丞的生图

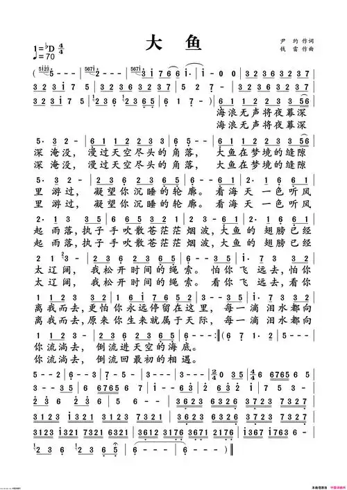
大鱼简谱-周深演唱1

美丽的邂逅(油菜花与美女)