郑伊健 虫儿飞 初学者c调简易版 钢琴双手简谱 钢琴简谱 钢琴谱

相关图片

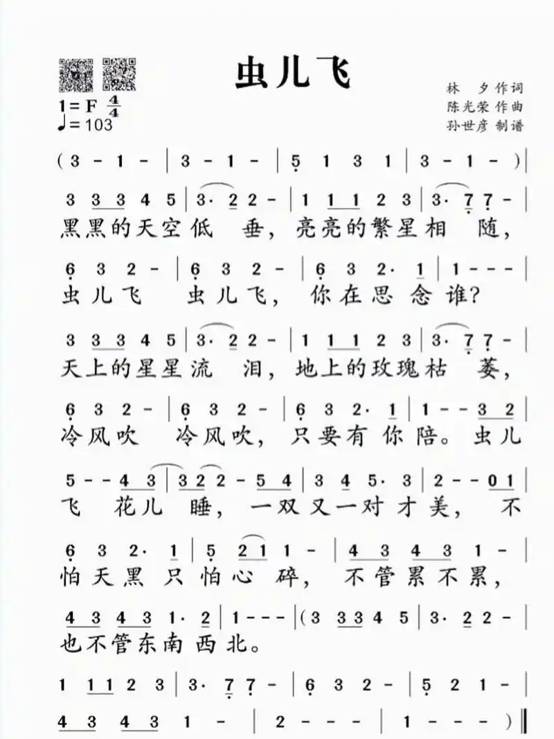
虫儿飞简谱

《虫儿飞》钢琴简谱双手

《虫儿飞》钢琴简谱 视频

今天就跟着老师一起,拿起大家的葫芦丝来演奏《虫儿飞》 跟着伴奏一起

虫儿飞高清打印歌谱简谱

随机推荐

耳图片_图片大全

开始,给自己的歌声做一个地图吧,了解嗓音三要素:气息,声带,共鸣腔

tfboys六周年演唱会海报高清原图查看

迪丽热巴壁纸,身材超级好的美女

哆啦a梦可爱套图壁纸|今天也要做全宇宙最快乐的小朋友

可爱简约黑白卡通猪桌面壁纸下载

1.学唱《数蛤蟆》,编创歌词,并根据音乐形象用打击乐为歌曲编配伴奏.

我会爱惜玩具