《同桌的你》简谱

相关图片

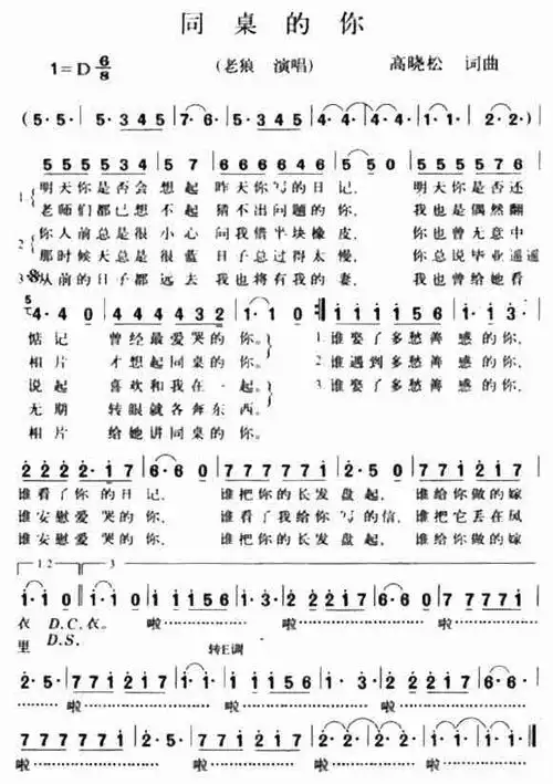
同桌的你简谱

同桌的你 成都合唱团 二声部 编配改编合唱简谱钢琴伴奏五线谱 - 抖音

同桌的你_简谱_歌谱_曲谱_吉他谱_五线谱

歌曲 同桌的你下载简谱下载五线谱下载曲谱网曲谱大全中国曲谱网

同桌的你_简谱_搜谱网

随机推荐

从开始到未来,只为王俊凯

盘点男明星素颜照,王源满脸痘遭毁容,王俊凯似路人认不出

傅园慧萌萌哒微信表情包动态搞笑图片 啦啦啦真开心

江西特产酸辣腌空心菜下饭菜拌面小菜腌菜酱菜咸菜香辣菜辣椒酱

原创国潮十二生肖|插画|新锐潮流插画|z05179359 - 原创作品 - 站酷

锡纸烫女短发效果图,女士锡纸烫短发发型-图片大观-奇异网

九尾狐

纯色壁纸/背景