复兴的火 reprise 歌谱 简谱

相关图片

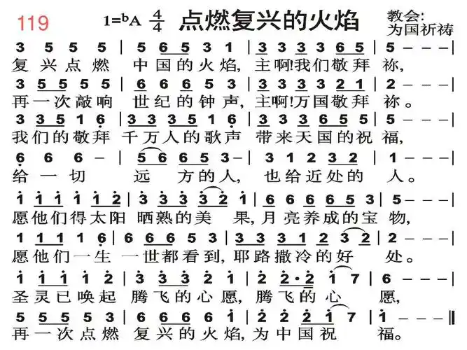
点燃复兴的火焰) / 南窗听雨编辑相关歌谱:[简谱]点燃复兴的火焰[简

复兴点燃中国的火焰

833点燃复兴的火 提示:按f11切换浏览器全屏模式.

796复兴的火焰(简谱)_1050首选本诗歌_基督教歌谱大全

018复兴的火(五线谱)_敬拜赞美歌谱集_基督教歌谱大全

随机推荐

其中的玩法之一便是四象阵,有着广泛的玩家群体,烟雨江湖作为一款受

selene chow 婚纱礼服,图源微博cr:@设计师selene chow

为什么嘻哈歌手喜欢摆这样的pose拍照有什么寓意吗

服装色彩作业橘色,黄色

刘些宁五福临门##刘些宁寿华

情非得已简谱-庾澄庆演唱-汤小康/张国祥词曲1

绝密孝金第1集

5,李健华当年就读小学球场赤脚踢球.jpg