背影头像女生唯美漂亮仙气

相关图片

仙气背影#创作灵感 #头像 #女头 #星空精选 #抖音图文来 - 抖音

仙气飘飘的女生背影头像(精选22张)

仙女小可爱系列头像背影

仙气飘飘女生头像背影高清清新仙气十足的背影头像图片

仙气背影女头

随机推荐

严浩翔帅且自知##严浩翔黄油小面包

关咏荷,孙莉,郭蔼明.

从清装到现代,钟汉良的百变形象,哪一款是你的菜?

周维娜verna的自拍照[9p]:难得用神机拍全身照的 大家不要再吐槽我的

但能体会过去流金岁月,一转眼,7080的我们已在四处奔波有些回忆悄然

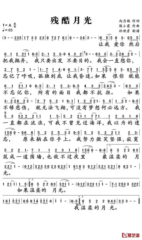
残酷月光简谱-林宥嘉-我以为的遗忘,原来躺在你手上

女生的脚要怎么保养才更美呢

带你去梦里 (伴奏)_乌兰托娅_高音质在线试听_带你去梦里 (伴奏)歌词