《北京东路的日子》完美演奏版钢琴简谱-数字双手-汪源2

相关图片

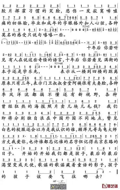
北京东路的日子-很好听的歌曲双手简谱预览3

北京东路的日子简谱

求北京东路的日子钢琴简谱加上和旋的

北京东路的日子

北京东路的日子双手简谱和五线谱是完全对应的,是eop教学曲.

随机推荐

结婚证照片穿旗袍有多好看01北京领证

王俊凯王源易烊千玺合体# tfboys 的十年之约,王俊凯,王源和异烊

复古港风卷发,让吴倩的松弛感更加凸显,简直太高级了

凉鞋配袜子,冬天这样穿特新鲜~~_女袜_服装服饰_爱靓网

表不靠谱的王睿涵成长史里心儿宝贝的安利视频

[86p][《极品家丁》人物图]

杜月笙公馆~民国海派风情文化的缩影

口罩情头_口罩_情侣头像_素材_头像_小红书