歌词/晴天/周杰伦 故事的最后你好像还是说了拜拜

相关图片

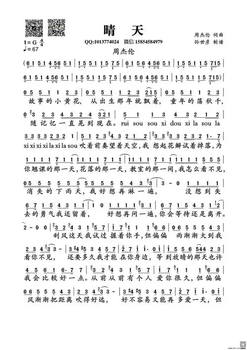
周杰伦晴天歌词简谱

简谱《晴天》

周杰伦晴天简谱及歌词

简谱:《晴天》-周杰伦

晴天歌词周杰伦

随机推荐

2020年通用简历(word表格).pdf 2页

超模刘雯示范初春穿搭,印花上衣牛仔裤显腿长2米8,不服都不行

简介:苏青清新文艺写真图片,分享一组苏青图片给大家

扒一扒明星滴真实身高baby159cm张柏芝157cm

谢霆锋头像 图片头像

关联交易等方式提前转移财产 最高人民法院今天召开新闻发布会

部队里人性化的规定这三种情况下军人必须请假回家网友意外

张晚意父辈的荣耀##张晚意陈兴杰