衡水体汉字衡水体汉字

相关图片

衡水体中文模板怎么练

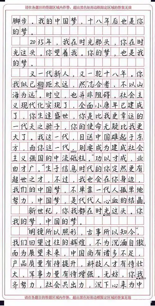
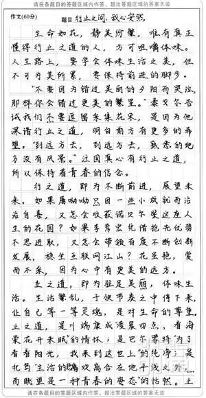
衡水体一般的"神仙考卷",能占便宜,阅卷老师:好想给满分!

衡水体中文模板怎么练

衡水一中学满分作文曝光,阅卷老师:单看字迹,满分就有了,佩服

高考最受欢迎衡水体优秀的学生不仅成绩好原来书法还是一流的美

随机推荐

夫妻头像一左一右配对卡通可爱超萌图片

妈妈后梳礼服盘发发型

冷酷少年,你的二次元老公来了#二次元动漫 #原创 - 抖音

鹿晗33岁了吗?我还以为二十几岁呢同龄人脸龄对比,谁惊艳到了 - 抖音

杨颖曝亲弟很温柔宋祖儿求搭线看清亲弟正脸不进圈可惜了

丈夫率孙颖莎冲世锦赛资格,妻子带队上来打阻击|丁宁|陈梦|刘国梁

这种独特的装饰风格以其冰冷而有质感的特性而闻名,金属风壁纸的设计

老照片:直击80年代新婚夫妇拍婚纱照的场景