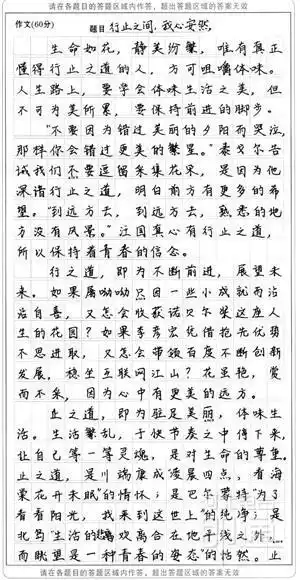
怎样在考场字体写成"衡水体"?

相关图片

衡水体中文模板怎么练

"衡水体"示范视频曝光!让阅卷老师赏心悦目的字体是怎样写出来的?

学霸必备三大工具,教你七天学会满分字体!

教你写一手漂亮的衡水体,字好看不重要,但起码有心理作用

高考阅卷老师喜欢的三种字体衡中字体为首有你的么

随机推荐

比林青霞更美的胡慧中,被无良导演欺骗拍摄三集电影而

内娱男明星身高大揭秘,究竟是谁在说话?

仙剑奇侠传7速通剧情第一章重楼开局放水女主差点啃出大结局

男生发型男生可以尝试的五款狼尾发型

别墅玻璃楼梯扶手/深圳玻璃护栏厂家/复式玻璃栏杆/玻璃扶手

吴亦凡身着lv 2020冬男士系列 以少年姿态演绎绅士格调

dearjohn吉他谱c调我等你很久了

王铎《行书赠单大年家丈立轴》_王铎书法欣赏_词典网