旅行的意义

相关图片

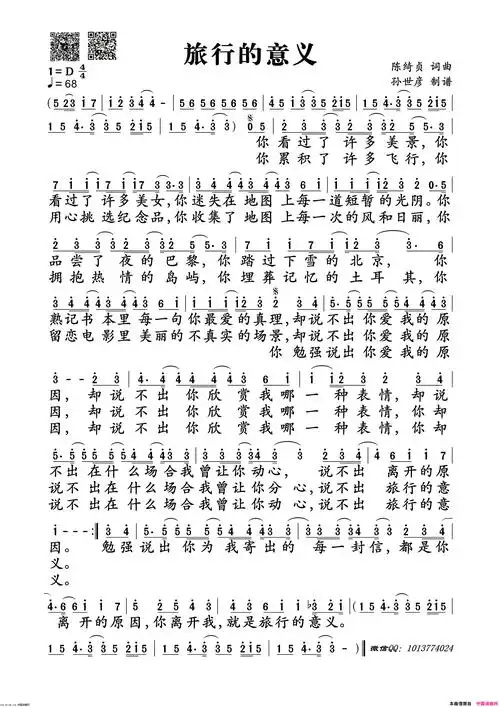
旅行的意义(陈绮贞词 陈绮贞曲)_简谱

旅行的意义吉他谱

旅行的意义吉他谱

旅行的意义陈绮贞尤克里里弹唱曲谱

旅行的意义尤克里里谱乐谱调六线简谱-虫虫吉他谱免费下载

随机推荐

1/ 12 2021年8月20日,上海,徐璐出席tesoro意大利高级珠宝开幕仪式,她

上游时尚|陈伟霆穿西装梳油头简约又帅气-上游新闻 汇聚向上的力量

各种单品都可以穿,不冷不热的季节,穿搭就能够随意很多,杨紫这次也玩

一家3口合照.

火影写轮眼全样式轮盘动态壁纸下载_wallpaper写轮眼全种类轮盘壁纸

袁冰妍两次偷漏税!六部待播剧受影响,赵丽颖钟汉良刘学义被波及

二手汽车 #法拉利 09年的f430加州版,原版精品车 - 抖音

「白熊弹唱」〈可惜不是你〉梁静茹 / 曹轩宾〔尤克里里谱