景甜

相关图片

"景甜"手机高清壁纸·原图上传,记得查看原图再保存.#景甜

景甜清爽白皙居家写真手机壁纸

景甜明星壁纸30

手机壁纸景甜

景甜高清手机壁纸

随机推荐

日前,梁咏琪的演唱会在上海东方体育中心举行,这是她在内地的第四站

动漫冷酷帅气男生头像 不要妄加评断我

古力娜扎仙气甜美写真桌面壁纸

蔡依林惊艳着装出席活动,露背装大展性感

求 大家有没有小鬼这个小丑造型的照片! - 知乎

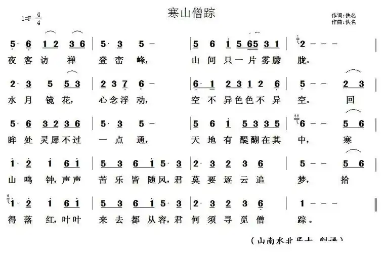
寒山僧踪简谱寒山僧踪简谱

因太胖连续两次被北电拒绝后,尤浩然瘦身成功,脸型轮廓都出来了

淋巴结肿瘤早期症状,典型症状无痛性淋巴结肿大图片(脖子和腋下图)