丝杆螺距是什么?

相关图片

螺纹的结构及五要素 牙型,大径,螺距(导程),线数,旋向

六角螺栓视觉检测螺距测量螺纹检测维视智造

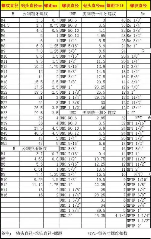
常用标准螺纹螺距对照表

螺纹螺距

螺纹螺距

随机推荐

冷淡风ins暗色系锁屏壁纸 超气质的壁纸心情愉悦

宋亚轩夏日运动会饭拍

《德龄与慈禧》见媒体 卢燕:梅兰芳影响我一生

适合学生党的碎盖头

模糊,注视,休闲装,草,小孩,衣服,绿色,观察,看,休闲,温暖,温馨819_545

国字脸男生适合什么发型?

传统古典海浪波浪波纹图案设计免扣元素

绘画 #动漫人物 巴啦啦小魔仙之飞越彩灵堡 - 抖音