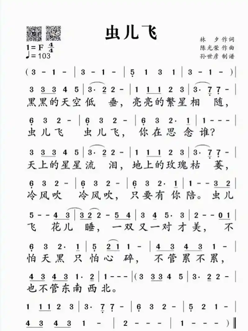
虫儿飞简谱四弦琴

相关图片

《虫儿飞》钢琴简谱双手

虫儿飞歌谱-虫儿飞简谱-郑伊健虫儿飞曲谱-虫儿飞五线谱完整版下载

《虫儿飞》钢琴简谱 视频

虫儿飞谱子_电影《风云雄霸天下》插曲_虫儿飞简谱_吉他作曲谱子

歌曲虫儿飞的简谱歌谱下载

随机推荐

赵丽颖油画妆##赵丽颖全新高定##赵丽颖油画里的美人

小麻薯手账本套装少女心可爱风礼盒女生活页手帐本网红简约ins风

拍摄伤感孤独意境背影图片赏析分享

万圣节的可爱僵尸妆

【黄婷婷】【秒拍】五一劳动节快乐(图频无关系列,宝宝这个打扮太好看

80后童年塑料凉鞋怀旧黄色纺织厂包头小学生老款男装胶鞋男童网格

斗笠古风摄影道具 cosplay儿童古装汉服竹编帽女侠客防晒遮脸面纱

bang#二次元少女 #枪械插画#未来主义 #ai绘画 #m - 抖音