七八九年级上册下册语文同步字帖人教版衡水体练字帖中文初中生专

相关图片

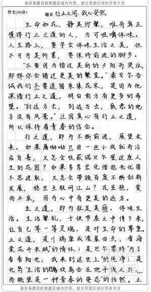
衡水一中学满分作文曝光,阅卷老师:单看字迹,满分就有了,佩服

衡水中学学霸用"印刷体"写语文作文

衡水中学高分字帖 高中生阅背古诗文 衡水体 高中语文临摹字帖 高一

衡水体中文模板怎么练

墨点字帖共2本高中生必背古诗文手写衡水体高中英语满分作文字帖语文

随机推荐

马嘉祺 一起去未来

精彩手机壁纸,点击图片,长按保存图片,在手机"设置"中添加成桌面或

中国李宁手机壁纸

陈应春将推针对性优惠政策发展深圳的期货业

退伍季:上等兵,分手"快乐"

劫匪头套秋冬骑行护脸露眼蒙面男帽子凤凰战士反恐怖分子打劫土罩

baby大肚子出席活动怀孕7个月肚子这么大了还穿高跟鞋

联保娃之恋娃娃60厘米芭人偶比bjd洋娃娃仿真精致正版玩具玩偶公仔女