哒螨灵

相关图片

3.

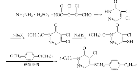
google 专利

96489-71-3 哒螨灵 cas号96489-71-3分子式,结构式,msds,熔点,沸点

达螨灵:扫螨净结构式图片|96489-71-3结构式图片

cas:10070-36-7|的分子结构

随机推荐

我印象里金毛最帅的是刘德华

所有细节都来了|林志玲结婚,4套婚纱,13万钻戒,2000万婚车,木村拓哉送

linefriendd动图表情包

美孚石油(mobil)创立于1892年,而著名的「飞马」logo首次出现在1911年

好甜的可爱363436373039甜妹女生头像

奥运会最丑吉祥物

纯文字头像你要记住大雨中为你撑伞的人

高空杂技