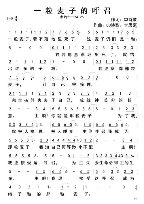
一粒麦子吉他谱 c调附前奏-吉他吧编配-小羊诗歌

相关图片

一粒麦子(f调 & e调)和弦简谱 - 歌谱 - 小羊诗歌 - 灵栖清泉(当代

一粒麦子歌词简谱第1页

[每日赞美诗]20180614 一粒麦子 - 祈祷基督网

一粒麦子

一粒麦子

随机推荐

厂家直销艺术字设计

表示千纸鹤的图片大全唯美_微信头像图片大全

于途改口叫乔晶晶于太太##杨洋戴眼镜好苏#.

图鉴:"尼米兹"级航母第8号舰"杜鲁门"号大图赏析

说英雄谁是英雄 #摩登兄弟刘宇宁#白愁飞 白衣潋滟,愁肠 - 抖音

金黄色的秋天,高清图片,艺术壁纸-回车桌面

明星《花千骨》演员表 - 抖音

格陵兰岛 (丹麦) 北 美 的 位 置 和 范 围 加拿大 美国