常用标准螺纹螺距对照表

相关图片

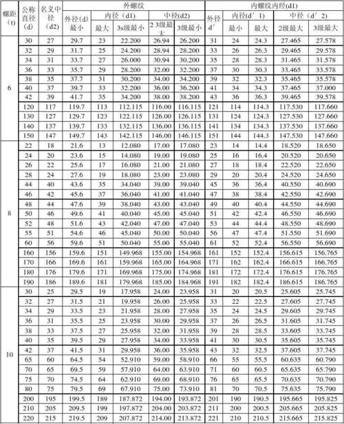
梯形螺纹基本尺寸表螺距6-10

螺丝攻牙螺距规格

相关文档 螺纹尺寸表( 公制) 螺纹尺寸表( 公制) - m1:粗扣螺距0

梯形螺纹(内外螺纹)基本尺寸表螺距2-24

公制螺纹螺距表

随机推荐

微信头像易烊千玺

动漫火影忍者旋涡鸣人桌面壁纸

99超可爱的动漫女生头像合集,少女心爆满!

男生烟花烫发型图片 烫烟花烫发型图片(3)

如何把发根烫蓬松,不翻车烫发攻略

民国 象牙微雕婴戏文字手串

中国中医科学院中药研究所生药研究中心张志杰博士在报告中指出,炮制

昆明塑料模板批发,云南abs塑料模板价格