女星赵今麦甜美合集:靓丽青春,清秀俊美

相关图片

女星赵今麦甜美合集:靓丽青春,清秀俊美

赵今麦羊毛卷彩虹帽

赵今麦写真,青春靓丽,甜美动人

魅力十足. #明星动态# #明星穿搭# #赵今麦

miumiu钻石内裤##赵今麦在穿

随机推荐

一张导图引领未来人才培养 苏州科技大学倡导终身学习_发展_专业_思维

韩红减重40斤,扎丸子头女人味十足,引起网友热议__财经头条

原创肖战始终在前行小飞侠稍安勿躁静候佳音就好

qq情侣霸气头像超拽酷合照一人一张

金鱼电话亭 关注 张馨予 |苏妲己cr:hd-bx甜心 #封神英雄榜 赞 评论

【#天外飞仙#】李赛金.吕一 by缇米柚子

最全的先天八卦图

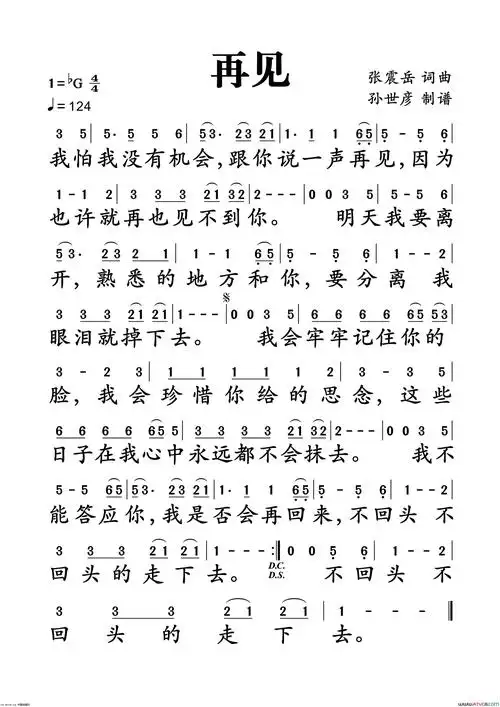
再见简谱-张震岳演唱-张震岳/张震岳词曲1