新一期甜美可爱美少女动漫头像更新了,小仙女们快来点赞领取!

相关图片

哈喽,小仙女们~ 这次我带来了一批超可爱的漫画风女孩头像,每一个都

动漫头像女生仙气处女座 动漫头像 仙女 可爱 少女心

哈喽,小仙女们~ 这次我带来了一批超可爱的漫画风女孩头像,每一个都

哈喽,小仙女们~ 这次我带来了一批超可爱的漫画风女孩头像,每一个都

哈喽,小仙女们~ 这次我带来了一批超可爱的漫画风女孩头像,每一个都

随机推荐

双开门冰箱尺寸一览表!

paris logo设计

韩国偶像学校成员名单(推荐十部甜甜的校园青春系列偶像韩剧)

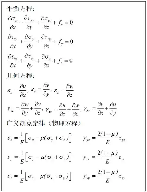
弹性力学的基本假设

和老师赌气62年不剪指甲 印度男子成世界单手指甲最长的人

微信线条头像,快来挑选你的专属头像95 线条勾勒的头像,简约又不失

鄙人很胖,男的, 身高在165~168之间,体重在170斤左右但是看起来却没

白百何穿红色格纹西装配休闲裤,指甲颜色却赚足眼球,网友:真亮