高中数学 2-2-2-1 对数函数及其性质能力强化提升 新人教a版必修1

相关图片

3对数与对数函数 (通用版) 1 第三节 对数与对数函数 一,选择题 a .

两公司预计融资一千万,五年: 固定 0回答 已知x=a,y=b;x=c,y=d都是

(1,2) 【答案】d 【解析】a {x 3 2x 1 3} [ 1,2],b (1, ) a b (1,2]

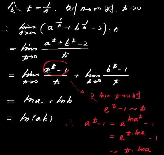
ln,表示自然对数,他以e为底lga-lgb=lg(a/b)lga lgb=lg(a*b)下面列

已知函数f(x)=|2^x-1|,a b c,且f(a)>f(c)>f(b),则.

随机推荐

个性帅气鹿晗壁纸_最热鲜肉帅鹿晗

各年龄组男女儿童,青少年平均身高表 - 好大夫在线

▷吕中|武则天 cut

手机壁纸聊天背景图ins日系温柔

画家张咏梅,梅花精神映画坛,墨笔书写寒梅傲雪

怎么有能把亲亲都亲得这么丑的表情包

蒋勤勤《迷雾跟踪》收官 生活性演技塑造"烟火气"女警

新款克莱斯勒300c首发 搭6.4l v8限量2200台