英制螺纹规格表

相关图片

常见的螺纹与底孔加工对照表,不算很全,够用就行了98!#cn - 抖音

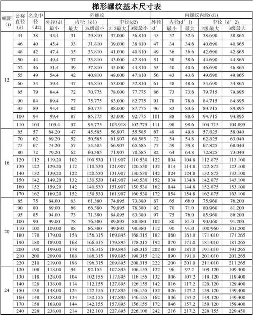
螺纹基本尺寸对照表12495doc

公制螺纹尺寸表

螺纹基本尺寸对照表

英制螺纹标准_第1页

随机推荐

1984年,23岁的张学友参加了首届香港十八区业余歌唱大赛,获得了冠军

长相大气的女明星 大眼睛瓜子脸. #祖玛珑秋日美人香

肖战酷飒帅气写真图片桌面壁纸

娜娜诱惑广场舞来了注意有点毒了

韩女团camila亮相打歌节目 穿高叉红裙布料超少

关于物质的基本三态大家都知道,就是气,液,固,这是生活中常见的,而且

小丑希斯莱杰4k4k

张起灵演员肖宇梁壁纸