室内手绘效果图餐饮空间

相关图片

餐厅空间表现教程视频第六课

【室内设计手绘】餐饮空间

2023室内餐厅酒柜设计手绘效果图

室内考研照片写生餐饮空间

文章分类:丁震作品餐饮空间室内手绘 分享到

随机推荐

小清新鸭嘴兽可爱卡通高清桌面壁纸高清大图预览1920x1080_卡通动漫下

佟丽娅 高跟凉鞋美jio [爱你][爱你] #佟丽娅

真的和现在不是一个水平,好看得很,看完无间道3部,梁朝伟的演技真好

画表情包素描-兔子创作时间2015/08/31添加表情「2011-2021」十年创作

德邻黑椒麦穗肠烧烤开花肠油炸热狗小吃奶茶店台式烤肠半成品食材

回顾张也55岁还未婚和62岁的吕继宏互相陪伴多年却至今未婚

一杯清茶

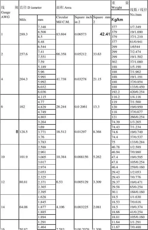
美标线径与国标对照及导线介绍