lisa芭比证件照壁纸lalalisa

相关图片

lisa证件照合集

lisa证件照合集

lisa证件照

lisa证件照合集00

证件照lisa 0369♀15

随机推荐

鹅娘星光#@陈坤生日写真,黑白光影,不负岁月,期待未来更多精彩.

三格_拼接壁纸《文字壁纸》"《美女壁纸》

上过《十二道锋味》《拜托了,冰箱》等多档美食综艺的罗拉是土生土长

简笔画侧身女孩全身 第1页

86版西游记老照片图1是孙悟空剧照图3为师徒四人过火焰山

蓬勃在我的指间,荡漾在你的心海.月下徘徊,屏前守望,深夜无眠.

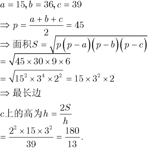
已知三角形的三边长分别为15,36,39求这个三角形的最长边上的高

如何看待降压药acei的致癌作用?