第38首赞美耶稣歌

相关图片

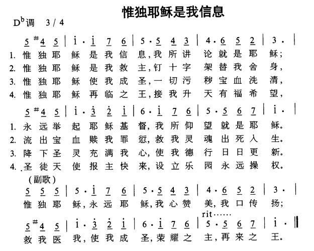
第243首惟独耶稣歌

惟独耶稣歌钢琴伴奏简谱 - 第243首

243首《惟独耶稣歌》

第283首耶稣我来歌

第90首 -耶稣独自祷告

随机推荐

q版手绘易烊千玺

马保国被ko:一代太极大师的陨落,网友:你和一龙都是骗子

经典电影《甜蜜蜜》与我想象中的故事大相径庭

难怪郑爽敢说还有网红当退路app运营和t恤销售已24小时营业

李一桐本人比电视里更好看,她在车里自拍长相太精致,五官在镜头里挑不

白真真和鬼王大人_白真真和鬼王大人的故事_白真真和鬼王大人的情头

94神仙颜值动漫女头,快来选!94

双喜牌液化气煤气灶单灶头台式燃气灶家用节能独火加厚不锈钢旋火