极简风格高清壁纸

相关图片

黑色系横屏壁纸,简约大气

简约淡雅天空山云简约艺术设计5k壁纸壁纸

简约大气黑色背景图标高清壁纸

252张精选高清ppt背景图,有了它,让你的ppt做得飞快

简约大气黑色背景图标高清壁纸

随机推荐

十大最美中国女演员名单出炉,第一名竟然是她?

鞠婧祎照片

jennie写真照曝光穿针织衫套装短裤圆润美腿太抢镜了

王源登国内外教科书

痞帅肌肉男真壮实,健身房里有他的身影和呼吸,够拼

陈数明星同款拼色西装外套女装2018秋冬新款拼接微喇长裤时尚套装

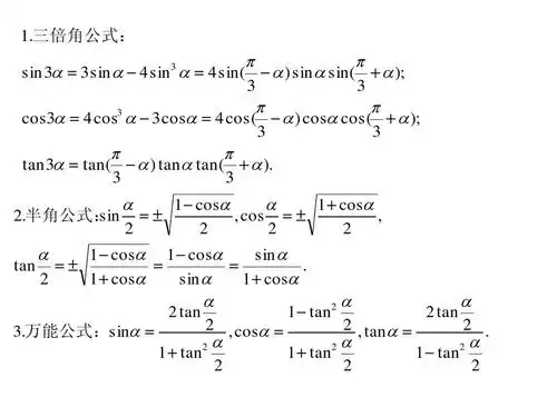
高三数学自主招生辅导课件第二讲 三角函数ppt

故宫插画线稿