小学音乐人音版 六年级上册5赞美的心《演唱 龙的传人》优质课公开课

相关图片

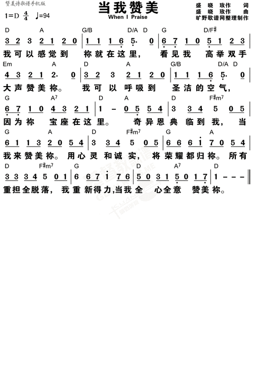
[每日赞美诗]20180227 当我赞美

简介信息:|诗歌试听|加入收藏|错误反馈|打印歌谱|查看同名歌词

主耶稣阿我赞美你

重读安娥 红色精神激荡奋进力量

我赞美你(d调)和弦简谱

随机推荐

美女演员刘涛今日最新杂志大片出炉啦!涛姐好美啊!

彩云杯中小学生绘画比赛小学组二等奖获奖作品展示2

杨颖的穿搭造型很高级,身穿黑色上衣搭配灰色牛仔裤,又酷又时尚_头发

双人情头二传注明堆糖 诗梦瑶

帅气权志龙桌面壁纸_帅气男神权志龙

7,短斜刘海 耳下短发6,三七分内扣短发卷发的弧度更小更蓬松,发尾微微

金晨胡夏竟然分手了?女方取关男方,恋情出现危机!

诺石凉鞋2023年新款女夏季外穿精致高跟凉拖鞋仙女配裙子时尚百搭米色