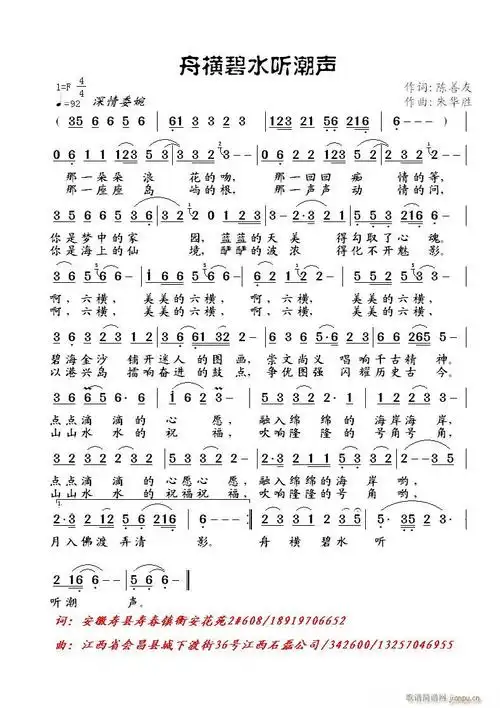
听潮简谱第1页

相关图片

张云雷听潮

张云雷听潮吉他谱

听潮钢琴谱张云雷降e调流行钢琴五线谱

98热烈祝贺泰康之家·鹏园盛大开业[庆祝] 碧海云天 听潮踏 - 抖音

锦仕公考柏杨

随机推荐

我很惊讶竟然会有人对黄渤林志玲这俩人意难平,这可能就是林志林情商

每一位都是多才多艺,你最喜欢哪位|童星|关晓彤|张子枫|她的演技_网易

天空白云摄影照片背景拍照背景纸拍摄背景布影棚照相背景高清新品

十二生肖公主简笔画,古风卡通版

欧美光头男头像图片【点击鼠标右键下载】

安安静静的一个人

米埗稻田里的夏天

6÷37的商用循环小数表示是多少?小数部分前45位的数字之和是多少?