杨超越将出演《将夜2》!穿纱裙在雪地拍戏,美丽冻人!很拼!

相关图片

将夜2花絮:杨超越穿白色纱裙,光脚躺在雪地上,这一刻她好美!

赤脚踩指压板,促进穴道

杨超越 光jio丫[爱你][爱你][色][色] #杨超越

杨超越

alina 在市区赤脚玩雪

随机推荐

1791 杨洋身穿牛仔衣服,阳光又帅气,展现出牛仔的风采,浑身

硕士学位服硕士服毕业礼服文科理科垂布硕士帽现货学士学位服文科硕士

孙怡 这皮肤不像在海里游泳,像刚泡过牛奶[嘻嘻][嘻嘻]

高冷范的女图片头像黑白 女生头像图片大全 -【爱个性】

难阻失利王少杰8中6拿到14分6板5断6犯离场

古力娜扎紧身裤健身,尽显好身材

虞书欣q版人物饭圈美工无偿约稿立牌

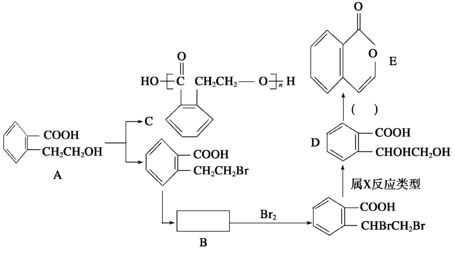
为有机物a的结构简式,可以通过不同的反应制得下列物质.