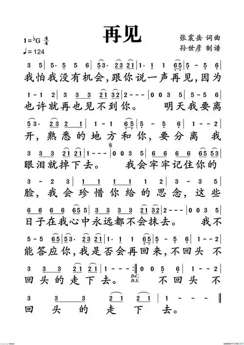
再见简谱-张震岳演唱电影后来的我们插曲-对岸曲谱

相关图片

再见简谱-张震岳演唱-张震岳/张震岳词曲-看乐谱网

张震岳再见歌词

抄歌词:再见

再见 歌谱 简谱

张震岳《再见》吉他谱 c调 简单版-看乐谱网

随机推荐

沈腾夏洛特烦恼剧照

公众号:住宅公园,500套别墅图纸,别墅施工专家

杨紫李现疑恋情曝光两人使用同款手机壳有许多相同衣物和配饰

19天贺天动图 - 堆糖,美图壁纸兴趣社区

用硬纸板做手工乐器琵琶.#创作灵感 废旧纸盒不要扔,用纸板做 - 抖音

gucci_logo.jpg

高清动漫线稿1000张_素材_关键词_主页

消除斜方肌,富贵包的一周安排97快来练!