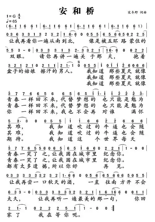
安河桥简谱

相关图片

安和桥简谱

安和桥简谱

双手简谱安和桥c调简单版宋冬野

【简谱】安河桥简谱

宋冬野安和桥吉他谱g调超原版完美前奏间奏尾奏

随机推荐

当年仅14岁的杨颖,凭借一张自拍照成功引起模特经纪公司的注意,开启了

军艺校草沙溢参加12档综艺节目赚了4千万为何代步车仅仅30万

七彩中国梦儿童画我的书屋我的梦.#创作灵感 七彩中国梦 我的 - 抖音

116平新中式风格玄关装修效果图

刘德华,向华强与周润发.图片来源:北青网娱乐.

张杰勇敢飞_男生头像_我要个性网

刘德华 1961年出生于香港,演员,歌手,词作人,制片人,电影人

在中学时期,如果想要与同学融洽的相处,需要注意些什么