歌在飞歌词简谱

相关图片

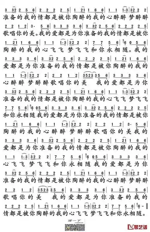
歌在飞(女声独唱) 歌谱简谱网

歌在飞简谱歌词苏勒亚其其格演唱君羊制谱

歌在飞_简谱_搜谱网

歌在飞简谱-苏勒亚其其格演唱-孙世彦制谱2

歌在飞简谱歌谱下载

随机推荐

孙红雷连续9年为张艺兴庆生#孙红雷连续9年发文祝张艺兴生日快馈

欧布奥特曼简笔画原生七种

很快,他就拥有了"全世界最帅的男孩""世界第一美少年"的称号.

缩中庭大法长脸变短眼位下移减龄显嫩

丰田商务车有哪几款

女生服饰穿搭by插画师丁一晨

我姓陈,我自豪,这就是我的简历

春晚盖娅传说的《山水霓裳》,为什么会引起大家的争议?