王中磊女儿晒一家四口合照,一家人一起为威廉弟弟庆生,超甜蜜!

相关图片

王中磊女儿和儿子

从小在明星堆里长大王中磊女儿大长腿吸睛儿子威廉阳光帅气

王中磊儿子闺女的基因逆袭了

王中磊一家出游 女儿亭亭玉立儿子呆萌

王中磊女儿与男友接吻 公主王子过着幸福生活

随机推荐

6月21日giorgio armani在米兰举行的2012春夏男装系列发布秀,金城武等

高圆圆婚变真正原因曝光,撕开了赵又廷真面目,原来相爱只是表面

林雨申是星二代亦是实力派出道多年不炒作中年走红

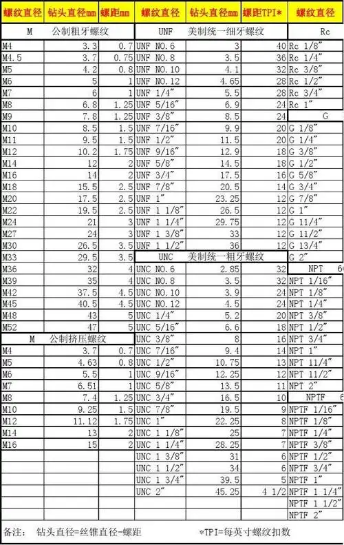
不锈钢花篮螺丝

《蒙面唱将》一次迎来五歌手揭面 众星感叹仿佛重新回到新人时期

最为敏感,也是影响人们情绪的最大因素,所以首先要学会选择服装颜色

迷人的二次元美女:探索动漫世界中的绝美人物

机械/仪表 螺纹螺距 备注: 钻头直径=丝锥直径-螺距 *tpi=每英寸螺纹