迪士尼可爱动物头像 高清呆萌的迪士尼小动物q版头像图片_动漫头像

相关图片

呆萌小可爱图片卡通小女孩头像

可爱呆萌头像女生 可爱呆萌的小女孩头像,简直要萌化我的心7815啦

漫画小女孩图片可爱呆萌头像

迪士尼可爱动物头像 高清呆萌的迪士尼小动物q版头像图片_动漫头像

可爱q版宠物小精灵头像图片

随机推荐

毛晓彤银色羽毛梦幻蓬蓬裙红毯造型##2023网络视听盛典鹅厂红毯秀

杨幂,一切都该结束了!_时候_因为_父母

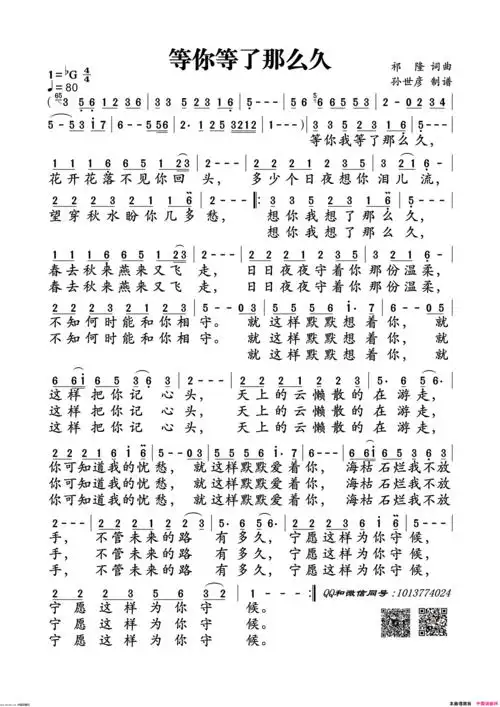
《等你等了那么久》祁隆作词 祁隆作曲 祁隆演唱 ,原创歌曲简谱,通俗

插画q版武警

雌性马鹿在春天喝水花图片下载

武昌黎元洪公馆.民国初年,黎元洪在清代湖北巡抚衙门旧址建起8 - 抖音

靳东参加两会他身份好厉害穿蓝色西装帅气儒雅领导范儿十足