电台情歌 _电台情歌 简谱_电台情歌 吉他谱_钢琴谱-查字典简谱网

相关图片

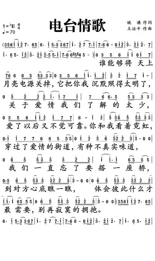
电台情歌简谱-莫文蔚演唱1

情歌——梁静茹()_情歌——梁静茹()简谱_情歌——梁静茹()吉他谱

电台情歌智能简谱莫文蔚演唱

电台情歌

情歌 歌谱简谱网

随机推荐

理智派生活

能引妹能翘头6380元最迷你金城小金童jc70

周杰伦晒健身照 眼神犀利手臂肌肉发达

情侣之间的互动羞羞表情合集高级版很猥琐的聊天表情最新 没办法人家

《全身湿透的女鬼》动画制作-武汉天空蓝动漫动画设计制作公司

叶罗丽精灵梦罗丽

遥远的你(221小伙伴)吉他谱(图片谱,酷音小伟,弹唱,c调)_群星(various

男士碎盖发型